
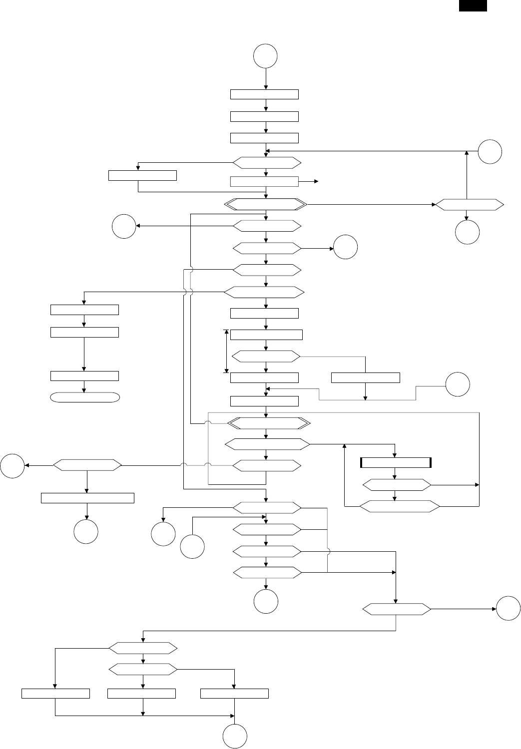
FLOW-VE-3
RX
2sec delay
Send CED
75ms delay
Polling mode
Send (NSF) DIS
RX1
ER
T1 elapsed?
TD
TX1
Send (NSC) DTC?
TX2
Send DCN
CML OFF
Beep
STOP
EOM
RX1
DTC
DIS
DCS
Enough Memory?
Set mode on this side
Receive training TCF
TCF good?
Send CFR
Set T2
Set communication error flag
ER
TL2
RX3
Send RTN Send RTP
Line good?
Image quality good?
Send MCF
RX2
ER
EOM
EOP
MPS
PR1-Q
Command received?
T2 elapsed?
Message carrier received?
Send FTT
RX2
Message in received?
RTC received?
Receive message
Memory Full?
NO
YES
YES
YES
NO
NO
3 sec msx.
NO
YES
YES
NO
YES
YES
YES
NO
YES
YES
YES
YES
YES
NO
NO
NO
NO
NO
NO
NO
NO
YES
YES
YES
NO
NO
NO
Response received?
Send (NSF) (CSI)-DIS 2times
Answer procedure
YES
AR-F152
6 – 12
Comments to this Manuals